Hotline: 0971899466 nvtruong17@gmail.com
Thuốc Biệt Dược

Miễn dịch cộng đồng: Điều gì sẽ xảy ra với con bạn, nếu đứa trẻ hàng xóm không được tiêm phòng?

13,462 lượt xem
Miễn dịch cộng đồng: Điều gì sẽ xảy ra với con bạn, nếu đứa trẻ hàng xóm không được tiêm phòng?

Tiêm vắc-xin không chỉ tốt cho bản thân, mà còn là trách nhiệm đối với xã hội.

Đó là một trong những lý thuyết quan trọng nhất, nền tảng của chiến dịch tiêm chủng mở rộng đang được Tổ chức Y tế thế giới (WHO) và tất cả các quốc gia chung tay thực hiện: Miễn dịch cộng đồng.

Lý thuyết nói rằng bạn không cần tiêm chủng cho toàn bộ 100% dân số để bảo vệ tất cả khỏi bệnh tật. Chỉ cần đưa con số ấy đến một ngưỡng nào đó, thường là từ 95-98%, dịch bệnh sẽ không bao giờ diễn ra, ngay cả những người không tiêm vắc-xin cũng sẽ được bảo vệ.

Ngược lại, khi con số giảm xuống dưới ngưỡng tạo ra được tấm lá chắn miễn dịch cộng đồng, đó sẽ là một báo động đỏ.

Thực tế đang xảy ra ở Châu Âu những năm gần đây cho thấy, khi tỷ lệ tiêm phòng sởi giảm xuống dưới 95%, số ca mắc sởi đã tăng gấp 3 lần. Cá biệt ở Ukraine, tình trạng bất ổn đã khiến tỷ lệ tiêm phòng ở nước này giảm xuống chỉ còn 31%. Hậu quả là dịch sởi đã bùng phát với quy mô gấp 10 lần trong năm 2018.

Chối bỏ thực tế, rất nhiều người chống vắc-xin vẫn không chịu tin vào miễn dịch cộng đồng. Họ cho rằng lý thuyết này phản trực giác. "Tôi tưởng ai tiêm vắc-xin thì người đó được bảo vệ thôi chứ?". "Tại sao tiêm chủng hàm chứa cả trách nhiệm xã hội chứ không đơn thuần là lợi ích bản thân?".

Bài viết này sẽ giải thích cho bạn hiểu cơ chế của miễn dịch cộng đồng, mà chỉ cần dùng tới kiến thức toán học phổ thông. Miễn dịch cộng đồng dựa trên những cơ sở dịch tễ học và động lực học dân số phức tạp, nói dễ hiểu thì không hẳn, nhưng cũng không phải là quá khó.

Miễn dịch cộng đồng hoạt động như thế nào?

Chúng ta hãy bắt đầu từ một khái niệm của dịch tễ học, Ro được gọi là tỷ lệ sinh cơ bản của một bệnh truyền nhiễm. Hiểu một cách đơn giản, đó là số lượng các trường hợp lây nhiễm bệnh từ một trường hợp đơn lẻ. Trong sơ đồ dưới đây, bạn sẽ thấy Ro=3. Cứ mỗi một đứa trẻ mắc bệnh lại lây nhiễm cho 3 đứa trẻ khác.

sd-11.jpg

Nếu mầm bệnh xuất phát từ một nguồn phơi nhiễm IDX, nó sẽ lây cho 3 đứa trẻ G1. Mỗi đứa trẻ G1 sẽ lây nhiễm cho 3 đứa trẻ G2 khác, tổng cộng chúng ta có 12 đứa trẻ đều nhiễm bệnh.

Nhưng cũng là 12 đứa trẻ, hãy xem xét kịch bản khi có 4 đứa trẻ được tiêm phòng (những hình tròn viền đen), nghĩa là tỷ lệ tiêm chủng đạt 33,33%. Theo trực giác, những người chống vắc-xin hẳn sẽ nghĩ rằng chỉ có 33,33% dân số tiêm phòng được bảo vệ, nghĩa là chỉ có 4 đứa trẻ không nhiễm bệnh. 

Nhưng trong kịch bản này thì sao? Hóa ra có tới 7 trẻ đã được bảo vệ, tương đương 58,33%.

sd-2.jpg

Đó là bởi con đường của mầm bệnh đã bị chặn đứng ở đứa trẻ được tiêm vắc-xin, khiến nó không còn là một nguồn lây nhiễm nữa. Trong điều kiện hoàn hảo, nếu cả 3 đứa trẻ G1 được tiêm phòng, tỷ lệ phòng bệnh còn đạt tới 100% dù chỉ có 25% dân số được chủng ngừa.

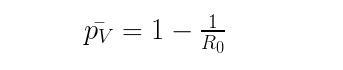
Nhưng dĩ nhiên, đó chỉ là trường hợp hoàn hảo mà thôi. Chúng ta có vô số những đứa trẻ ngoài kia, và chúng đều đi chơi, đi học với hàng chục đứa trẻ khác. Các nhà dịch tễ học đã tính toán ra một ngưỡng Pv mà ở đó, miễn dịch cộng đồng được thiết lập.

pt-1.png

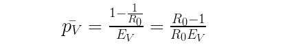
Nếu thêm vào phương trình cả tỷ lệ thất bại của vắc-xin, nghĩa là vắc-xin chỉ cho hiệu quả Ev (Ev<100%) ta có:

pt2.png

Hãy áp dụng phương trình này cho dịch sởi, với Ro=15 (cứ 1 trẻ bị sởi có thể lây nhiễm trung bình cho 15 trẻ khác, mặc dù đôi khi con số có thể lên tới 30 ở một số cộng đồng). Với hiệu quả của vắc-xin sởi là 96%, chúng ta cần bao nhiêu % dân số tiêm phòng để bảo vệ được những người còn lại?

pt3.png

Như vậy, đó là tỷ lệ cần thiết để thiết lập miễn dịch cộng đồng. Con số này giải thích lý do tại sao dịch sởi đang quay trở lại tấn công Châu Âu. Số ca mắc sởi năm 2018 đã cao gấp 3 lần năm 2017, khi tỷ lệ tiêm chủng ở nhiều quốc gia đều chỉ đạt dưới 95%.

Một mô phỏng máy tính được các nhà khoa học thực hiện, dựa trên một nghiên cứu công bố trên tạp chí Epidemiologic Reviews năm 1993.

Từ trái qua phải và từ trên xuống dưới, bạn sẽ thấy các nhóm dân số có tỷ lệ tiêm chủng cao dần. Những nét gạch đỏ thể hiện sự lây lan của dịch bệnh, khi chúng diễn ra trong các nhóm.

(adv)

Bạn có thể thấy khi tỷ lệ tiêm chủng càng cao, dịch bệnh càng có xu hướng lây lan chậm lại. Khi tỷ lệ tiêm chủng đạt ngưỡng 95%, nó gần như bị chặn đứng. Mầm bệnh không truyền đủ nhanh và rộng, bởi nó gặp phải quá nhiều người đã miễn nhiễm nhờ vắc-xin.

Điều gì sẽ xảy ra với con bạn, nếu đứa trẻ hàng xóm không được tiêm vắc-xin?

Nếu miễn dịch cộng đồng hoạt động, tại sao bạn cần đưa con mình đi tiêm chủng? Và nếu con bạn đã tiêm chủng rồi, tại sao bạn cần cả đứa trẻ hàng xóm cũng phải được tiêm?

Trả lời cho câu hỏi đầu tiên, các nhà dịch tễ học đã cho biết ngưỡng Pv để thiết lập được miễn dịch cộng đồng thường rất cao, trên 95%. Nhưng thực tế rằng, ngay cả khi chúng ta không có những bậc cha mẹ chống vắc-xin không chịu tiêm chủng cho con ngoài kia, mục tiêu tiêm chủng được cho 95% dân số cũng không phải dễ.

mo-phong-mien-dich.jpeg
Một mô phỏng khác về miễn dịch cộng đồng


Chúng ta có một tỷ lệ dân số không thể tiêm chủng, vì họ có hệ miễn dịch cực kỳ yếu hoặc cơ địa mẫn cảm với vắc-xin. Hãy nghĩ đến những đứa trẻ không may sinh ra đã mắc HIV. Những đứa trẻ đang phải điều trị ung thư có hệ miễn dịch rất rất yếu. Một số trẻ bị dị ứng hoặc phản ứng mạnh với thuốc.

Bởi vậy, tiêm chủng đầy đủ là trách nhiệm của những đứa trẻ khỏe mạnh với cộng đồng, để bảo vệ những đứa trẻ yếu hơn chúng.

Nhưng nếu hàng xóm bạn là những bậc phụ huynh ích kỷ, những người chống vắc-xin nhất quyết không cho con đi tiêm chủng thì sao?

Đây là mô hình được sử dụng để giải thích cho hậu quả của trường hợp ấy.

ty-le-nhiem.jpg

Trong kịch bản phía trên, chúng ta có 3 đứa trẻ G1, G2 và G3 (con bạn) đều được tiêm phòng, với tỷ lệ thất bại của vắc-xin chỉ 2%. Khi mầm bệnh xuất phát từ IDX lây nhiễm cho đứa trẻ thứ nhất (G1), nó chỉ có 2% cơ hội khiến đứa trẻ này bị bệnh. Đến đứa trẻ thứ hai (G2), tỷ lệ đã giảm xuống còn 0.04% và đến con bạn (G3) tỷ lệ gần như là bằng 0, chính xác là 0.000008, hay 1:125.000.

Nhưng hãy xét trường hợp thứ hai, khi đứa trẻ hàng xóm nhà bạn (G2) không được tiêm phòng. Do tỷ lệ thất bại của vắc-xin vẫn là 2% ở G1. Và bởi không được tiêm phòng, tỷ lệ mắc bệnh của G2 sẽ là 100% của 2%. 

Bản thân bậc phụ huynh hàng xóm đã làm tăng nguy cơ mắc bệnh của con mình lên gấp 50 lần. Và họ cũng gián tiếp làm tăng nguy cơ mắc bệnh của con bạn (G3) lên 50 lần, mặc dù đứa bé đã được tiêm chủng.


Tóm lại

Trên đây chỉ là những mô hình toán học cơ bản nhất giúp bạn hình dung được sự hoạt động của miễn dịch cộng đồng. Con số và những kịch bản ngoài thực tế có thể phức tạp hơn rất nhiều, khi chúng ta đưa thêm vào mô hình nhiều biến số khó định lượng.

Chỉ hi vọng những ý tưởng trên đã đủ giúp bạn phá tan trực giác sai lầm (nếu có) về miễn dịch cộng đồng, và hình dung được trách nhiệm của mình trong các chiến dịch tiêm chủng mở rộng. 

Nếu biết ai đó chống vắc-xin và vẫn còn những niềm tin sai lệch về miễn dịch cộng đồng, bạn có thể vui lòng chuyển thông điệp này đến họ: Tiêm vắc-xin không chỉ tốt cho bản thân, mà còn là trách nhiệm đối với xã hội.

Tham khảo Chrisvoncsefalvay, Ovg.ox.ac, Gid M-K
Chia sẻ bài viết:

Bình luận (0)

Gửi bình luận của bạn

Bình luận của bạn sẽ được kiểm duyệt trước khi hiển thị. Không được chèn link hoặc nội dung spam.

Chưa có bình luận nào

Hãy là người đầu tiên bình luận về nội dung này!

Gọi Zalo Facebook